Active
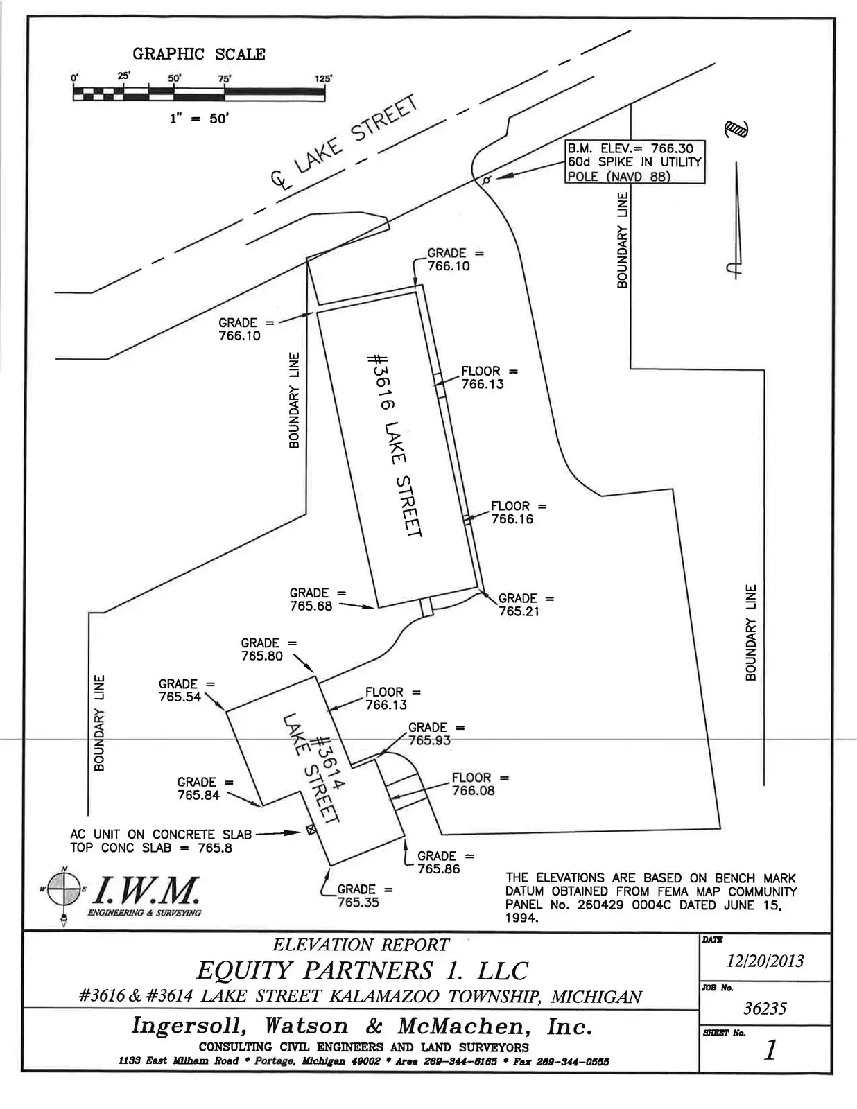
3614 - 3616 Lake Street
3614 Lake St, Kalamazoo, MI 49048
1 / 12

Overview
Located in Kalamazoo Township close to I-94, 3614–3616 Lake Street features two office/industrial buildings totaling 11,600 SF on 4.76 acres. The 4,000 SF building has 1,600 SF of office and 2,400 SF of garage space, while the 7,600 SF former daycare facility offers classrooms, a kitchen, gym, offices, and fenced areas. With ample parking and flexible layouts, it suits fitness, church, community, or service users and presents a straightforward renovation for many uses, see attached allowable uses. For more information and a tour, contact David Keyte at 269-806-0554.
Lease Spaces
| Name | Rate | SF | Available Date | |
|---|---|---|---|---|
| 3616 | $8 /SF/Year | 7,600 SF | 01/01/2026 | |
| 3614 | $7.25 | 4,000 SF | 01/01/0026 |
For Sale/Lease
Office
Secondary Uses: Industrial
- Lease Rate
- $8 SF/year
- Available SF
- 4,000 - 7,600 SF
- Total Available SF
- 11,600 SF
- Sale Price
- $675,000
- Price Per SF
- $58.2/SF
- Building Size
- 11,600 SF
- Acres
- 4.746 ac
- Zoning
- C
- Zoning Desc.
- Local Business
- # of Buildings
- 1
- Floors
- 1
- Construction Type
- Framed
- Property Status
- Existing
- County
- Kalamazoo
- Listed
- 01/08/2026
- Updated
- 01/08/2026
- Listing ID
- 48326d99
- Parcel APN
- 06-24-430-020










